• (542) 213 1308
  • İletişim
  • Arama Yap
  • Site Haritası
  • Anasayfa
T.C. MİLLÎ EĞİTİM BAKANLIĞI BİTLİS / GÜROYMAK Değirmenköy Ortaokulu Atatürk Köşesi
  1. Anasayfa
  2. Duyurular
Okul Kıyafetine Geçiş Duyurusu

Okul Kıyafetine Geçiş Duyurusu

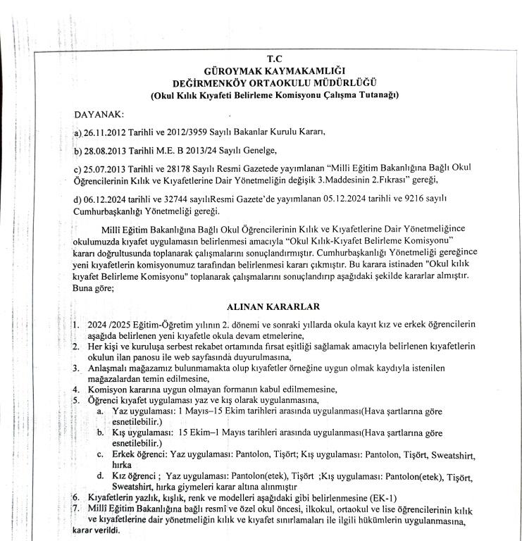
2024-2025 Eğitim Öğretim yılının 2. döneminden itibaren okul aile birliği yönetim kurulu tavsiye kararı ve öğrenci kıyafet belirleme okul komisyonu tarafından okul kıyafetine geçilmesi kararı alınmıştır.

20 07.08.2025 384

07-08-202507-08-202507-08-202507-08-202507-08-2025

İLGİLİ İÇERİKLER

Okul Kıyafetine Geçiş Duyurusu

2024-2025 Eğitim Öğretim yılının 2. döneminden itibaren okul...

07-08-2025

Aday Öğretmen Yetiştirme Yönergesi

17-02-2020

Olumlu Düşünme

17-02-2020

Aile İçi İletişim

17-02-2020

Başarıda Ailenin Rolü

17-02-2020
Devamı >>
Geri Bildirim

İletişim

Adres:
DEĞİRMEN KÖYÜ DEĞİRMENKÖY YOLU KÜME EVLERİ NO 1 İÇ KAPI NO 1 GÜROYMAK / BİTLİS

Telefon
0542 213 13 08


e-Posta Göndermek İçin Tıklayın
MEB © - Tüm Hakları Saklıdır. Gizlilik, Kullanım ve Telif Hakları bildiriminde belirtilen kurallar çerçevesinde hizmet sunulmaktadır.